Avem indicii temeinice că ceva este foarte putred în cheltuiala de 110.000 de euro pentru reabilitarea stadionului Dunărea înainte de Forza ZU.
Documentele cerute vizavi de această achiziție publică ne-au fost remise după multă codeală și cu imense spații albe în locul prețurilor și costurilor defalcate.
Mai țineți minte butaforia de 100.000 de euro realizată de primarul Marius Stan la Serbările Galațiului din 2012? Mucavaua pe schelet de lemn care imita niște clădiri celebre din Galați, de fapt o mizerie care s-a prăbușit la pima adiere mai serioasă de putea să omoare pe cineva? Acela a fost unul dintre „tunurile” definitorii ale mandatului fostului fotbalist la Primărie. Un fel de „să mânce și gura noastră ceva dacă tot e rost de paranghelie și bani zvârliți cu nemiluita”.
Ei bine, c(in)e se naște din buzunarul lui Marius Stan direct în conducerea Ecosal tot bani publici prăduiește când ajunge la Primărie. Astăzi vorbim și despre „butaforia” lui Ionuț Florin Pucheanu. O reabilitare a stadionului Dunărea în vederea organizării concertului Forza ZU ce a costat 523.543 de lei cu TVA/peste 111.000 de euro.
Dacă tot era rost de aruncat bani cu nemiluita pentru o scenă și niște cântăcioși care altminteri ar fi costat probabil și de patru ori mai puțin pe bani privați, hai ca să scurgem și niște gologani pe niște lucrări de nu le știe nimeni – dat cu var peste mortar, cât îi lumea n-ai habar…
Pe ce s-au dat 110 mii de euro? Păi, pe niște scaune demontate, niște lipituri cu ciment pe la trepte, devalizarea împrejmuirilor și a instalațiilor de pe stadion plus un pospai de tencuire a tribunei oficiale, o mâzgăleală de calitatea unei toalete publice din mediul rural.
Dar să vedem cum răspunde Primăria condusă de Pucheanu interesului legitim manifestat de noi vizavi de cheltuirea banilor publici.
Răspunsuri în doi peri și trei șicanări
Pe 29 mai, de pe adresa alternativajfm@gmail.com, adresa de pe care remitem noi, cei de la Alternativa – Jurnalism fără mogul toată corespondența, am cerut Primăriei să-mi permită accesul la dosarul achiziției de lucrări de reamenajare a stadionului Dunărea în vederea susținerii pe acesta a evenimentului-concert Forza ZU. Am precizat că „mă interesează în mod deosebit atât caietul de sarcini și estimările de costuri, dar și procedura de selecție a prestatorului și negociere a prețului, precum și urmărirea lucrărilor cu verificarea și acceptarea acestora.” Așadar, cuvinte-cheie: costuri, urmărire, verificare și recepție (acceptare) lucrări.
Pe 3 iunie, pe adresa de mai sus, primim un anunț de prelungire a termenul de așteptare (de la 10 zile cât prevede Legea 544/2001 ca practică regulată) la 30 de zile cu motivarea că „identificarea și difuzarea informațiilor solicitate necesită mai mult de 10 zile”. Practic, nemotivat, fiindcă nu se aduc informațiile de pe Lună, ele sunt în Primărie, probabil în alt birou decât cel de presă, evident.
La limita celor 30 zile, protestând că nu mi s-au livrat încă informațiile, aflu că acestea i-au fost trimise colegului Iulian Grosu, pe adresa personală. Bineînțeles, Iulian nu a observat că el nu este în Cc:, ci chiar destinatar exclusiv și nu și-a dat seama că pe adresa redacției nu s-au primit informațiile cerute. De remarcat și adresarea, într-un act oficial al Primăriei, către o adresă de e-mail, ca și cum noi nu le-am fi trimis solictarea noastră cu antetele publicației Alternativa JFM și Asociației ALO, către Primăria Galați, în atenția Biroului de Presă etc.
Astea sunt doar șicane și proastă creștere obișnuite pentru noi, vi le menționăm doar ca să înțelegeți cu ce fel de oameni lucrăm pe banii noștri. Adică și ai voștri, cei care ne citiți.
Banii – o mare nebuloasă, dar plină de indicii…
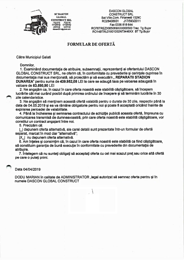
În fapt, îndărătnicia slujbașilor publici este mult mai mare și mai gravă. Deși noi am cerut să vedem cât a costat fiecare din lucrările pe care Primăria susține că le-a recepționat, documentele primite eludează total partea financiară, dar și răspunderea asupra lucrărilor recepționate.
Mai exact, veți observa din documentele pe care noi le punem în integralitate la dispoziția publicului de data aceasta – ca exemplu de comunicare discreționară a Primăriei vizavi de un interes legitim și niște informații ce ar trebui să fie publice – că lipsesc orice fel de prețuri unitare sau sume defalcate. Adică, mai pe-academiei, Pucheanu încearcă „să ne facă la bani”!
Și lipsește și ultimul document din lista înaintată de Primărie în răspuns, procesul-verbal de recepție a lucrărilor. Adică, pe șleau, în ce hal erau spoiala și cârpeala la momentul finalizării și cine este bugetofagul iresponsabil care a recepționat o așa mizerie.
Pentru noi, astea sunt indicii clare (și chiar temeinice) că, de fapt, prin dosare se ascund șuruburi la preț de șurubelnițe și moloz la preț de faianță, cum ar spune plastic unii.
Dar mai trăim și mai vedem, poate doar ni se pare nouă ciudat fiindcă purtăm ochelari 🙂
Fiindcă noi știm că majoritatea cititorilor noștri sunt cel puțin la fel de bine informați și destupați la minte ca și noi, vă lăsăm să studiați documentele, poate vă vin idei. Și poate ni le scrieți și nouă prin mesageria de la Facebook sau pe alternativajfm@gmail.com, off the record măcar.
Iar noi vă vom ține la curent cu mersul acestui dosar fiindcă, după părerea noastră și flerul verificat în mai mulți ani de presă și față de câți ani are pe cartea de muncă Pucheanu, aici s-ar putea să dăm peste o mare prăduială de bani publici. Poate chiar acea învârteală financiară de la care ar putea porni declinul sau chiar ruina – cel puțin politică – a lui Ionuț Florin Pucheanu, ucenicul vrăjitor crescut de Marius Stan.
Află în acest link cum poți să susții financiar activitatea publicației independente Alternativa – Jurnalism fără mogul.
Galeria foto: 22 de imagini. În cazul în care apar probleme privind accesarea acestora, vă rugăm să ne iertați pentru serverul nu prea performant și să aveți înțelegere dând câte un refresh, să se reîncarce pagina.






























